Active Pharmaceutical Ingredients Catalog
Acetaminophen
Acetaminophen
CAS Number: 103-90-2

Description
Acetaminophen is a nonnarcotic analgesic and antipyretic drug.
API Type | Synthetic chemistry |
Quality | ICH |
Therapeutic Category | Analgesic, Antipyretic |
Monograph Status | USP-A, EP-A |
Granules Product Status | Commercially Available |
Regulatory Filing/Technical Package | US DMF, CEP |
Innovator Brands | Acephen, Neopap, Tylenol, Ofirmev |
Available dosage Form/Strength | Suppository,Rectal(80/120/325/650mg); Tablet, Extended Release (650mg); Solution,Intravenous (1gm/100ml; 500gm/50ml) |
Atazanavir Sulfate
Atazanavir Sulfate
CAS Number: 229975-97-7

Description
Atazanavir is an aza-dipeptide analogue with a bis-aryl substituent on the (hydroxethyl)hydrazine moiety with activity against both wild type and mutant forms of HIV protease.
API Type | Synthetic chemistry |
Quality | ICH |
Therapeutic Category | Antiretroviral |
Monograph Status | NA |
Granules Product Status | Ready for commercial supply |
Regulatory Filing/Technical Package | US DMF |
Bortezomib
Bortezomib
CAS Number: 179324-69-7

Description
Bortezomib is a dipeptide Boronic acid derivative and proteasome inhibitor used to treat multiple myeloma and mantle cell lymphoma.
API Type | Synthetic chemistry |
Quality | ICH |
Therapeutic Category | Treatment of multiple myeloma and mantle cell lymphoma |
Monograph Status | NA |
Granules Product Status | Ready for commercial supply |
Regulatory Filing/Technical Package | US DMF |
Innovator Brands | Velcade |
Available dosage Form/Strength | Powder;Intravenous(3.5mg/ vial) |
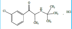
Bupropion Hydrochloride USP
Bupropion Hydrochloride USP
CAS Number: 31677-93-7

Description
Bupropion Hydrochloride is the hydrochloride salt of the aminoketone bupropion, with antidepressant activity
API Type | Synthetic chemistry |
Quality | USP |
Therapeutic Category | Antidepressant |
Monograph Status | A |
Granules Product Status | Ready for commercial supply |
Regulatory Filing/Technical Package | US DMF |
Capecitabine
Capecitabine
CAS Number: 154361-50-9

Description
Capecitabine is a non-cytotoxic fluoropyrimidine carbamate, which functions as an orally administered precursor of the cytotoxic moiety 5-fluorouracil (5-FU).
API Type | Synthetic chemistry |
Quality | ICH |
Therapeutic Category | Oncology |
Monograph Status | A |
Granules Product Status | Commercially Available |
Regulatory Filing/Technical Package | CEP |
Innovator Brands | Xeloda |
Available dosage Form/Strength | Tablet (150/500 mg) |
Cetirizine Hydrochloride, USP
Cetirizine Hydrochloride, USP
CAS Number: 83881-52-1

Description
Cetirizine Hydrochloride is a synthetic phenylmethyl-piperazinyl derivative, antihistaminic Cetirizine is a metabolite of hydroxyzine and a selective peripheral histamine H1-receptor antagonist.
API Type | Synthetic chemistry |
Quality | USP |
Therapeutic Category | Antihistamine |
Monograph Status | A |
Granules Product Status | Ready for commercial supply |
Regulatory Filing/Technical Package | US DMF |
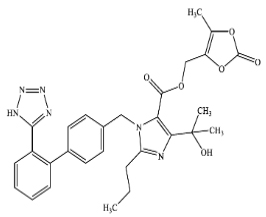
Dapagliflozin
Dapagliflozin
CAS Number: 461432-26-8

Description
Dapagliflozin is a sodium-glucose cotransporter 2 inhibitor used in the management of type 2 diabetes mellitus.
API Type | Synthetic chemistry |
Quality | ICH |
Therapeutic Category | Diabetes |
Monograph Status | NA |
Granules Product Status | Ready for commercial supply |
Regulatory Filing/Technical Package | USDMF |
Dasatinib
Dasatinib
CAS Number: 302962-49-8

Description
Dasatinib is a selective tyrosine kinase receptor inhibitor.
API Type | Synthetic chemistry |
Quality | ICH |
Therapeutic Category | Treatment of Chronic myeloid leukemia (CML), Philadelphia chromosome positive (Ph+), Acute lymphoblastic leukemia (ALL). |
Monograph Status | NA |
Granules Product Status | Ready for commercial supply |
Regulatory Filing/Technical Package | US DMF |
Dasatinib Monohydrate
Dasatinib Monohydrate
CAS Number: 863127-77-9

Description
Dasatinib is a tyrosine kinase inhibitor used for the treatment of Philadelphia chromosome-positive acute lymphoblastic leukemia or chronic myeloid leukemia.
API Type | Synthetic chemistry |
Quality | ICH |
Therapeutic Category | Antiepileptic agent and protein kinase Inhibitor |
Monograph Status | NA |
Granules Product Status | Ready for commercial supply |
Regulatory Filing/Technical Package | USDMF |
Dimethyl Fumarate
Dimethyl Fumarate
CAS Number: 624-49-7

Description
Dimethyl fumarate is an anti-inflammatory and role as an immunomodulator and an antipsoriatic. It is an enoate ester, a methyl ester and a diester.
API Type | Synthetic chemistry |
Quality | ICH |
Therapeutic Category | Immuno modulatory agent |
Monograph Status | NA |
Granules Product Status | Ready for commercial supply |
Regulatory Filing/Technical Package | US DMF |
Eltrombopag Olamine
Eltrombopag Olamine
CAS Number: 496775-62-3

Description
Eltrombopag Olamine is the orally active ethanolamine salt of eltrombopag, a small-molecule, nonpeptide thrombopoietin receptor agonist.
API Type | Synthetic chemistry |
Quality | ICH |
Therapeutic Category | Antihemorrhagics |
Monograph Status | NA |
Granules Product Status | Ready for commercial supply |
Regulatory Filing/Technical Package | US DMF |
Esomeprazole Magnesium Trihydrate, USP
Esomeprazole Magnesium Trihydrate, USP
CAS Number: 217087-09-7

Description
Esomeprazole is a proton pump inhibitor used to treat GERD, reduce the risk of NSAID associated gastric ulcers, eradicate H. pylori, and to treat conditions causing gastric acid hypersecretion.
API Type | Synthetic chemistry |
Quality | USP |
Therapeutic Category | Proton pump inhibitor(PPI) |
Monograph Status | A |
Granules Product Status | Ready for commercial supply |
Regulatory Filing/Technical Package | USDMF |
Fexofenadine Hydrochloride, USP
Fexofenadine Hydrochloride, USP
CAS Number: 153439-40-8

Description
Fexofenadine Hydrochloride is the hydrochloride salt form of fexofenadine, a carboxylated metabolic derivative of terfenadine and second generation, long-lasting selective histamine H1 receptor antagonist, with antihistaminic activity.
API Type | Synthetic chemistry |
Quality | ICH |
Therapeutic Category | Antihistamine |
Monograph Status | A |
Granules Product Status | Ready for commercial supply |
Regulatory Filing/Technical Package | US DMF |
Fluconazole, USP
Fluconazole, USP
CAS Number: 86386-73-4

Description
Fluconazole is a synthetic triazole with antifungal activity. Fluconazole preferentially inhibits fungal cytochrome P-450 sterol C-14 alpha-demethylation, resulting in the accumulation of fungal 14 alpha-methyl sterols, the loss of normal fungal sterols, and fungistatic activity.
API Type | Synthetic chemistry |
Quality | ICH |
Therapeutic Category | Antifungal |
Monograph Status | USP-A, EP-A |
Granules Product Status | Commercially Not Available |
Regulatory Filing/Technical Package | US DMF, CEP |
Innovator Brands | Diflucan |
Available dosage Form/Strength | For Suspension(200mg/5ml, 50mg/5ml), Tablet(50/100/150/200mg), Injectable(200mg/100ml, 400mg/200ml) |
Gabapentin, USP
Gabapentin, USP
CAS Number: 60142-96-3

Description
Gabapentin is a synthetic analogue of the neurotransmitter gamma-aminobutyric acid with anticonvulsant activity. Although its exact mechanism of action is unknown, gabapentin appears to inhibit excitatory neuron activity.
API Type | Synthetic chemistry |
Quality | ICH |
Therapeutic Category | Anticonvulsant |
Monograph Status | A |
Granules Product Status | Commercially Not Available |
Regulatory Filing/Technical Package | US DMF |
Innovator Brands | US DMF |
Available dosage Form/Strength | Tablet(100/300/400mg), Capsule(600/800mg), Solution(250mg/5ml) |
Guaifenesin USP
Guaifenesin USP
CAS Number: 93-14-1

Description
Guaifenesin is a glyceryl guaiacolate with expectorant effects. Guaifenesin increases respiratory tract mucus secretions, acts as an irritant to gastric vagal receptors and recruits efferent parasympathetic reflexes that cause glandular exocytosis.
API Type | Synthetic chemistry |
Quality | USP |
Therapeutic Category | Expectorant |
Monograph Status | A |
Granules Product Status | Ready for commercial supply |
Regulatory Filing/Technical Package | US DMF |
Levetiracetam USP
Levetiracetam USP
CAS Number: 102767-28-2

Description
Levetiracetam is a novel anticonvulsant agent used as an adjunct medication to manage partial onset, myoclonic, and generalized tonic-clonic seizures in patients with epilepsy.
API Type | Synthetic chemistry |
Quality | USP |
Therapeutic Category | Antiepileptic |
Monograph Status | A |
Granules Product Status | Ready for commercial supply |
Regulatory Filing/Technical Package | USDMF |
Levocetirizine Dihydrochloride USP
Levocetirizine Dihydrochloride USP
CAS Number: 130018-87-0

Description
Levocetirizine is an antihistamine used to relieve allergy symptoms.
API Type | Synthetic chemistry |
Quality | USP |
Therapeutic Category | Antihistamine |
Monograph Status | A |
Granules Product Status | Ready for commercial supply |
Regulatory Filing/Technical Package | US DMF, ASMF |
Linagliptin
Linagliptin
CAS Number: 668270-12-0

Description
Linagliptin is a dipeptidyl peptidase-4 (DPP-4) inhibitor used to manage hyperglycemia in patients with type 2 diabetes mellitus.
API Type | Synthetic chemistry |
Quality | ICH |
Therapeutic Category | Antidiabetic (dipeptidyl peptidase IV inhibitor). |
Monograph Status | NA |
Granules Product Status | Ready for commercial supply |
Regulatory Filing/Technical Package | USDMF |
Losartan Potassium USP
Losartan Potassium USP
CAS Number: 124750-99-8

Description
Losartan potassium is an angiotensin II receptor blocker acting on the AT1 receptor subtype.
API Type | Synthetic chemistry |
Quality | USP |
Therapeutic Category | Antihypertensive |
Monograph Status | A |
Granules Product Status | Ready for commercial supply |
Regulatory Filing/Technical Package | USDMF |
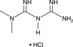
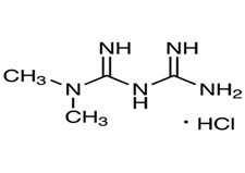
Magnesium Oxybate
Magnesium Oxybate
CAS Number: 82316-98-1

Description
Magnesium Oxybate is a central nervous system depressant that reduces excessive daytime sleepiness and cataplexy in patients with narcolepsy.
API Type | Synthetic chemistry |
Quality | ICH |
Therapeutic Category | CNS depressant |
Monograph Status | NA |
Granules Product Status | Ready for commercial supply |
Regulatory Filing/Technical Package | USDMF |
Melphalan Hcl (High potent)
Melphalan Hcl (High potent)
CAS Number: 148-82-3

Description
Amino acid-like antineoplastic agent and chemotherapy medication used to treat multiple myeloma, ovarian cancer, melanoma, and AL amyloidosis.
API Type | Synthetic chemistry |
Quality | ICH |
Therapeutic Category | Anticancer |
Monograph Status | IH |
Granules Product Status | Commercially Available |
Regulatory Filing/Technical Package | USDMF |
Innovator Brands | Alkeran |
Available dosage Form/Strength | Tablet (2mg); Injectable (EQ 50MG BASE/VIAL) |
Metformin Hydrochloride USP
Metformin Hydrochloride USP
CAS Number: 1115-70-4

Description
Metformin is an anti-diabetic medication (biguanide). It works by lowering glucose production in the liver, delaying the absorption of sugar (glucose) from the intestines, and increasing the body’s sensitivity to insulin.
API Type | Synthetic chemistry |
Quality | USF |
Therapeutic Category | Hypoglycemic |
Monograph Status | A |
Granules Product Status | Ready for commercial supply |
Regulatory Filing/Technical Package | USDMF |
Methocarbamol USP
Methocarbamol USP
CAS Number: 532-03-6

Description
Methocarbamol is a carbamate with centrally acting muscle relaxant properties. Though the exact mechanism of action of methocarbamol was not established, it’s postulated to be via a mechanism similar of carbamate, inhibition of acetylcholinesterase at synapses in the autonomic nervous system, neuromuscular junction, and central nervous system.
API Type | Synthetic chemistry |
Quality | USP |
Therapeutic Category | Muscle relaxant |
Monograph Status | A |
Granules Product Status | Ready for commercial supply |
Regulatory Filing/Technical Package | US DMF |
Metoprolol Succinate USP
Metoprolol Succinate USP
CAS Number: 98418-47-4

Description
Metoprolol Succinate is the succinate salt form of metoprolol, a cardioselective competitive beta-1 adrenergic receptor antagonist with antihypertensive properties and devoid of intrinsic sympathomimetic activity.
API Type | Synthetic chemistry |
Quality | USP |
Therapeutic Category | Antihypertensive |
Monograph Status | A |
Granules Product Status | Ready for commercial supply |
Regulatory Filing/Technical Package | USDMF |
Naproxen Sodium, USP
Naproxen Sodium, USP
CAS Number: 26159-34-2

Description
Naproxen Sodium is the sodium salt form of naproxen, a member of the arylacetic acid group of non-steroidal anti-inflammatory drugs (NSAIDs) with anti-inflammatory analgesic and antipyretic properties.
API Type | Synthetic chemistry |
Quality | ICH |
Therapeutic Category | Anti-inflammatory agent |
Monograph Status | A |
Granules Product Status | Commercially Not Available |
Regulatory Filing/Technical Package | US DMF |
Innovator Brands | Aleve, Naprelan |
Available dosage Form/Strength | Capsule (EQ 20mg Base), Tablet(Eq 220/ 250/ 500mg Base), Tablet ER (EQ 375/ 500/750mg Base) |
Nilotinib Hydrochloride Monohydrate
Nilotinib Hydrochloride Monohydrate
CAS Number: 923288-90-8

Description
Nilotinib is a kinase inhibitor used for the chronic phase treatment of Chronic Myeloid Leukemia (CML) that is Philadelphia chromosome positive and for the treatment of CML that is resistant to therapy containing imatinib.
API Type | Synthetic chemistry |
Quality | ICH |
Therapeutic Category | Chronic myelogenous leukemia (CML) |
Monograph Status | NA |
Granules Product Status | Ready for commercial supply |
Regulatory Filing/Technical Package | USDMF |
Olmesartan Medoxomil USP
Olmesartan Medoxomil USP
CAS Number: 144689-63-4

Description
Olmesartan is an angiotensin receptor blocker (ARB) used in the treatment of hypertension
API Type | Synthetic chemistry |
Quality | USP |
Therapeutic Category | Anti-hypertensive |
Monograph Status | A |
Granules Product Status | Ready for commercial supply |
Regulatory Filing/Technical Package | USDMF |
Omeprazole Magnesium, USP
Omeprazole Magnesium, USP
CAS Number: 95382-33-5

Description
Omeprazole Magnesium is the magnesium salt form of a benzimidazole with selective and irreversible proton pump inhibitor activity. In the acidic compartment of parietal cells, omeprazole is protonated and converted into the active achiral sulfenamide.
API Type | Synthetic chemistry |
Quality | USP |
Therapeutic Category | Anti-ulcerative |
Monograph Status | A |
Granules Product Status | Ready for commercial supply |
Regulatory Filing/Technical Package | US DMF |
Omeprazole, USP
Omeprazole, USP
CAS Number: 475207-59-1

Description
Omeprazole is a proton pump inhibitor used to treat GERD associated conditions such as heartburn and gastric acid hypersecretion, and to promote healing of tissue damage and ulcers caused by gastric acid and H. pylori infection.
API Type | Synthetic chemistry |
Quality | USP |
Therapeutic Category | Proton-pump inhibitor |
Monograph Status | A |
Granules Product Status | Ready for commercial supply |
Regulatory Filing/Technical Package | USDMF |
Pantoprazole Sodium Sesquihydrate, USP
Pantoprazole Sodium Sesquihydrate, USP
CAS Number: 164579-32-2

Description
Pantoprazole is a proton pump inhibitor used to treat erosive esophagitis, gastric acid hypersecretion, and to promote healing of tissue damage caused by gastric acid.
API Type | Synthetic chemistry |
Quality | USP |
Therapeutic Category | Proton pump inhibitor & Anti-ulcerative |
Monograph Status | A |
Granules Product Status | Ready for commercial supply |
Regulatory Filing/Technical Package | USDMF |
Pazopanib (High potent)
Pazopanib (High potent)
CAS Number: 444731-52-6

Description
Pazopanib is a multiple kinase inhibitor that limits tumor growth by targeting angiogenesis via inhibition of enzymes including vascular endothelial growth factor receptor (VEGFR), platelet-derived growth factor receptor, useful for treating Renal cell carcinoma
API Type | Synthetic chemistry |
Quality | ICH |
Therapeutic Category | Anticancer |
Monograph Status | IH |
Granules Product Status | Commercially Available |
Regulatory Filing/Technical Package | USDMF |
Innovator Brands | Votrient |
Available dosage Form/Strength | Tablet (200/400mg) |
Penicillamine USP
Penicillamine USP
CAS Number: 52-67-5

Description
Penicillamine is a pharmaceutical of the chelator class. The pharmaceutical form is D-penicillamine.
API Type | Synthetic chemistry |
Quality | USP |
Therapeutic Category | Chelating agent |
Monograph Status | A |
Granules Product Status | Ready for commercial supply |
Regulatory Filing/Technical Package | US DMF |
Pirfenidone
Pirfenidone
CAS Number: 53179-13-8

Description
Pirfenidone is an orally active synthetic antifibrotic agent structurally similar to pyridine 2,4-dicarboxylate. Pirfenidone inhibits fibroblast, epidermal, platelet-derived, and transforming beta-1 growth factors, thereby slowing tumor cell proliferation.
API Type | Synthetic chemistry |
Quality | ICH |
Therapeutic Category | Antifibrotic agent |
Monograph Status | NA |
Granules Product Status | Ready for commercial supply |
Regulatory Filing/Technical Package | USDMF |
Prazosin Hydrochloride, USP
Prazosin Hydrochloride, USP
CAS Number: 19237-84-4

Description
Prazosin Hydrochloride is a synthetic piperazine derivative with hypotensive antiadrenergic properties, Prazosin Hydrochloride reduces peripheral resistance and relaxes vascular smooth muscles as a selective adrenergic alpha-1 antagonist by a mechanism not completely known.
API Type | Synthetic chemistry |
Quality | USP |
Therapeutic Category | Antihypertensive |
Monograph Status | A |
Granules Product Status | Ready for commercial supply |
Regulatory Filing/Technical Package | US DMF |
Rifaximin
Rifaximin
CAS Number: 80621-81-4

Description
Rifaximin is an orally administered, semi-synthetic, nonsystemic antibiotic derived from rifamycin SV with antibacterial activity. Rifaximin binds to the beta-subunit of bacterial DNA-dependent RNA polymerase, inhibiting bacterial RNA synthesis and bacterial cell growth.
API Type | Synthetic chemistry |
Quality | ICH |
Therapeutic Category | Antibiotic |
Monograph Status | NA |
Granules Product Status | Ready for commercial supply |
Regulatory Filing/Technical Package | US DMF |
Sorafenib Tosylate USP
Sorafenib Tosylate USP
CAS Number: 475207-59-1

Description
Sorafenib is a kinase inhibitor used to treat unresectable liver carcinoma, advanced renal carcinoma, and differentiated thyroid carcinoma.
API Type | Synthetic chemistry |
Quality | USP |
Therapeutic Category | Used for the treatment of progressive, metastatic, medullary Thyroid cancer and advanced renal cell carcinoma. |
Monograph Status | A |
Granules Product Status | Ready for commercial supply |
Regulatory Filing/Technical Package | USDMF |
Trazodone Hydrochloride USP
Trazodone Hydrochloride USP
CAS Number: 25332-39-2

Description
Trazodone is a serotonin uptake inhibitor used to treat major depressive disorder.
API Type | Synthetic chemistry |
Quality | USP |
Therapeutic Category | Antidepressant |
Monograph Status | A |
Granules Product Status | Ready for commercial supply |
Regulatory Filing/Technical Package | USDMF |
Vigabatrin USP
Vigabatrin USP
CAS Number: 68506-86-5

Description
Vigabatrin is an analog of gamma-aminobutyric acid ([GABA]), the main inhibitory neurotransmitter in the central nervous system, used in the treatment of refractory seizures and infantile spasms.
API Type | Synthetic chemistry |
Quality | USP |
Therapeutic Category | Anticonvulsant |
Monograph Status | A |
Granules Product Status | Ready for commercial supply |
Regulatory Filing/Technical Package | US DMF |
Acetaminophen
Acetaminophen
CAS Number: 103-90-2

Description
Acetaminophen is a nonnarcotic analgesic and antipyretic drug.
API Type | Synthetic chemistry |
Quality | USP/Ph. Eur |
Therapeutic Category | Analgesic, Antipyretic |
Monograph Status | USP; EP |
Granules Product Status | Commercially Available |
Regulatory Filing/Technical Package | Canada DMF |
Innovator Brands | Acephen, Neopap, Tylenol, Ofirmev |
Available dosage Form/Strength | Suppository,Rectal(80/120/325/650mg); Tablet, Extended Release (650mg); Solution,Intravenous (1gm/100ml; 500gm/50ml) |
Acetaminophen
Acetaminophen
CAS Number: 103-90-2

Description
Acetaminophen is a nonnarcotic analgesic and antipyretic drug.
API Type | Synthetic chemistry |
Quality | ICH |
Therapeutic Category | Analgesic, Antipyretic |
Monograph Status | USP available |
Granules Product Status | Commercially Available |
Regulatory Filing/Technical Package | JDMF |
Innovator Brands | Acephen, Neopap, Tylenol, Ofirmev |
Available dosage Form/Strength | Suppository,Rectal(80/120/325/650mg); Tablet, Extended Release (650mg); Solution,Intravenous (1gm/100ml; 500gm/50ml) |
Acetaminophen USP
Acetaminophen USP
CAS Number: 103-90-2

Description
Acetaminophen is a nonnarcotic analgesic and antipyretic drug.
API Type | Synthetic chemistry |
Quality | ICH |
Therapeutic Category | Analgesic, Antipyretic |
Monograph Status | USP - available |
Granules Product Status | Commercially Available |
Regulatory Filing/Technical Package | KDMF |
Innovator Brands | Acephen, Neopap, Tylenol, Ofirmev |
Available dosage Form/Strength | Suppository,Rectal(80/120/325/650mg); Tablet, Extended Release (650mg); Solution,Intravenous (1gm/100ml; 500gm/50ml) |
Cetirizine Hydrochloride, Ph.Eur
Cetirizine Hydrochloride, Ph.Eur
CAS Number: 83881-52-1

Description
Cetirizine Hydrochloride is a synthetic phenylmethyl-piperazinyl derivative, antihistaminic Cetirizine is a metabolite of hydroxyzine and a selective peripheral histamine H1-receptor antagonist.
API Type | Synthetic chemistry |
Quality | Ph. Eur |
Therapeutic Category | Antihistamine |
Monograph Status | EP available |
Granules Product Status | Commercially Available |
Regulatory Filing/Technical Package | CDMF |
Innovator Brands | Zyrtec, Zyrtec allergy, Quzyttir |
Available dosage Form/Strength | Capsule(5/10mg), Syrup(5mg/ml), Tablet ODT(10mg), Tablet(5/10mg), Solution/Drops(EQ 0.24% BASE), Solution Intravenous(10MG/ML (10MG/ML), Tablet, Chewable(2.5/5/10mg) |
Fluconazole, USP
Fluconazole, USP
CAS Number: 86386-73-4

Description
Fluconazole is a synthetic triazole with antifungal activity. Fluconazole preferentially inhibits fungal cytochrome P-450 sterol C-14 alpha-demethylation, resulting in the accumulation of fungal 14 alpha-methyl sterols, the loss of normal fungal sterols, and fungistatic activity.
API Type | Synthetic chemistry |
Quality | USP/Ph. Eur |
Therapeutic Category | Antifungal |
Monograph Status | USP; EP |
Granules Product Status | Commercially Not Available |
Regulatory Filing/Technical Package | Canada DMF |
Innovator Brands | Diflucan |
Available dosage Form/Strength | For Suspension(200mg/5ml, 50mg/5ml), Tablet(50/100/150/200mg), Injectable(200mg/100ml, 400mg/200ml) |
Fluconazole, USP
Fluconazole, USP
CAS Number: 86386-73-4

Description
Fluconazole is a synthetic triazole with antifungal activity. Fluconazole preferentially inhibits fungal cytochrome P-450 sterol C-14 alpha-demethylation, resulting in the accumulation of fungal 14 alpha-methyl sterols, the loss of normal fungal sterols, and fungistatic activity.
API Type | Synthetic chemistry |
Quality | Ph Eur |
Therapeutic Category | Antifungal |
Monograph Status | EP- available |
Granules Product Status | Commercially Not Available |
Regulatory Filing/Technical Package | CDMF |
Innovator Brands | Diflucan |
Available dosage Form/Strength | For Suspension(200mg/5ml, 50mg/5ml), Tablet(50/100/150/200mg), Injectable(200mg/100ml, 400mg/200ml) |
Fluconazole, USP
Fluconazole, USP
CAS Number: 86386-73-4

Description
Fluconazole is a synthetic triazole with antifungal activity. Fluconazole preferentially inhibits fungal cytochrome P-450 sterol C-14 alpha-demethylation, resulting in the accumulation of fungal 14 alpha-methyl sterols, the loss of normal fungal sterols, and fungistatic activity.
API Type | Synthetic chemistry |
Quality | ICH |
Therapeutic Category | Antifungal |
Monograph Status | USP available |
Granules Product Status | Commercially Not Available |
Regulatory Filing/Technical Package | KDMF |
Innovator Brands | Diflucan |
Available dosage Form/Strength | For Suspension(200mg/5ml, 50mg/5ml), Tablet(50/100/150/200mg), Injectable(200mg/100ml, 400mg/200ml) |
Levocetirizine Dihydrochloride
Levocetirizine Dihydrochloride
CAS Number: 130018-87-0

Description
Levocetirizine is an antihistamine used to relieve allergy symptoms.
API Type | Synthetic chemistry |
Therapeutic Category | Antihistamine |
Granules Product Status | Commercial Available |
Regulatory Filing/Technical Package | KDMF |
Innovator Brands | Xyzal |
Available dosage Form/Strength | Tablet (5mg), Oral solution (2.5mg/ml) |
Levocetirizine Dihydrochloride USP
Levocetirizine Dihydrochloride USP
CAS Number: 130018-87-0

Description
Levocetirizine is an antihistamine used to relieve allergy symptoms.
API Type | Synthetic chemistry |
Quality | IH |
Therapeutic Category | Antihistamine |
Monograph Status | US available |
Granules Product Status | Commercial Available |
Regulatory Filing/Technical Package | CDMF |
Innovator Brands | Xyzal |
Available dosage Form/Strength | Tablet (5mg), Oral solution (2.5mg/ml) |
Losartan Potassium USP
Losartan Potassium USP
CAS Number: 124750-99-8

Description
Losartan potassium is an angiotensin II receptor blocker acting on the AT1 receptor subtype.
API Type | Synthetic chemistry |
Quality | ICH |
Therapeutic Category | Antihypertensive |
Monograph Status | USP-A, EP-A |
Granules Product Status | Commercial Available |
Regulatory Filing/Technical Package | KDMF |
Innovator Brands | Cozaar |
Available dosage Form/Strength | Tablet (25/50/100mg) |
Metformin Hydrochloride USP
Metformin Hydrochloride USP
CAS Number: 1115-70-4

Description
Metformin is an anti-diabetic medication (biguanide). It works by lowering glucose production in the liver, delaying the absorption of sugar (glucose) from the intestines, and increasing the body’s sensitivity to insulin.
API Type | Synthetic chemistry |
Quality | USP |
Therapeutic Category | Hypoglycemic |
Monograph Status | USP- Available |
Granules Product Status | Commercially Available |
Regulatory Filing/Technical Package | Canada DMF |
Innovator Brands | Glucophage, Glucophage XR, Glumetza, Fortamet |
Available dosage Form/Strength | Tablet (500/625/750/850/1000mg), Tablet ER(500/750/1000 mg), solution (500mg/ml), For suspension ER (500mg/ml) |
Metformin Hydrochloride USP
Metformin Hydrochloride USP
CAS Number: 1115-70-4

Description
Metformin is an anti-diabetic medication (biguanide). It works by lowering glucose production in the liver, delaying the absorption of sugar (glucose) from the intestines, and increasing the body’s sensitivity to insulin.
API Type | Synthetic chemistry |
Quality | USP |
Therapeutic Category | Hypoglycemic |
Monograph Status | USP available |
Granules Product Status | Commercially Available |
Regulatory Filing/Technical Package | KDMF |
Innovator Brands | Glucophage, Glucophage XR, Glumetza, Fortamet |
Available dosage Form/Strength | Tablet (500/625/750/850/1000mg), Tablet ER(500/750/1000 mg), solution (500mg/ml), For suspension ER (500mg/ml) |
Methocarbamol USP
Methocarbamol USP
CAS Number: 532-03-6

Description
Methocarbamol is a carbamate with centrally acting muscle relaxant properties. Though the exact mechanism of action of methocarbamol was not established, it’s postulated to be via a mechanism similar of carbamate, inhibition of acetylcholinesterase at synapses in the autonomic nervous system, neuromuscular junction, and central nervous system.
API Type | Synthetic chemistry |
Quality | USP |
Therapeutic Category | Muscle relaxant |
Monograph Status | US available |
Granules Product Status | Commercially Available |
Regulatory Filing/Technical Package | Canada DMF |
Innovator Brands | Robaxin |
Available dosage Form/Strength | Tablet(500/750mg), Solution-IM,IV(1G/10ml) |
Methocarbamol USP
Methocarbamol USP
CAS Number: 532-03-6

Description
Methocarbamol is a carbamate with centrally acting muscle relaxant properties. Though the exact mechanism of action of methocarbamol was not established, it’s postulated to be via a mechanism similar of carbamate, inhibition of acetylcholinesterase at synapses in the autonomic nervous system, neuromuscular junction, and central nervous system.
API Type | Synthetic chemistry |
Quality | ICH |
Therapeutic Category | Muscle relaxant |
Monograph Status | USP - available |
Granules Product Status | Commercially Available |
Regulatory Filing/Technical Package | KDMF |
Innovator Brands | Robaxin |
Available dosage Form/Strength | Tablet(500/750mg), Solution-IM,IV(1G/10ml) |
Abacavir Sulfate Ph Eur
Abacavir Sulfate Ph Eur
CAS Number: 188062-50-2

Description
Abacavir Sulfate is a sulfate salt form of abacavir, a nucleoside reverse transcriptase inhibitor analog of guanosine. This agent decreases HIV viral loads, retards or prevents the damage to the immune system, and reduces the risk of developing AIDS. NCI Thesaurus (NCIt).
API Type | Synthetic chemistry |
Quality | ICH |
Therapeutic Category | Antiretroviral |
Monograph Status | A |
Granules Product Status | Commercially Available |
Regulatory Filing/Technical Package | CEP |
Innovator Brands | Ziagen |
Available dosage Form/Strength | Tablet(EQ 300mg Base), Oral Solution (EQ 20mg Base/ml) |
Atazanavir Sulfate
Atazanavir Sulfate
CAS Number: 229975-97-7

Description
Atazanavir Sulfate is an antiretroviral medication used to treat HIV/AIDSalong with other ARVs
API Type | Synthetic chemistry |
Therapeutic Category | Antiretroviral |
Granules Product Status | Commercially Available |
Regulatory Filing/Technical Package | ASMF |
Innovator Brands | Viread |
Available dosage Form/Strength | Tablet (150/200/250/300 mg), Powder (40mg/ Scoopful) |
Capecitabine, Ph.Eur
Capecitabine, Ph.Eur
CAS Number: 154361-50-9

Description
Capecitabine is a non-cytotoxic fluoropyrimidine carbamate, which functions as an orally administered precursor of the cytotoxic moiety 5-fluorouracil (5-FU).
API Type | Synthetic chemistry |
Quality | ICH |
Therapeutic Category | Oncology |
Monograph Status | A |
Granules Product Status | Commercially Available |
Regulatory Filing/Technical Package | CEP |
Innovator Brands | Xeloda |
Available dosage Form/Strength | Tablet (150/500 mg) |
Cetirizine Dihydrochloride Ph. Eur.
Cetirizine Dihydrochloride Ph. Eur.
CAS Number: 83881-52-1

Description
Cetirizine Hydrochloride is a synthetic phenylmethyl-piperazinyl derivative, antihistaminic Cetirizine is a metabolite of hydroxyzine and a selective peripheral histamine H1-receptor antagonist.
API Type | Synthetic chemistry |
Quality | Ph. Eur |
Therapeutic Category | Antihistamine |
Monograph Status | EP- Available |
Granules Product Status | Commercially Available |
Regulatory Filing/Technical Package | CEP |
Innovator Brands | Zyrtec, Zyrtec allergy, Quzyttir |
Available dosage Form/Strength | Capsule(5/10mg), Syrup(5mg/ml), Tablet ODT(10mg), Tablet(5/10mg), Solution/Drops(EQ 0.24% BASE), Solution Intravenous(10MG/ML (10MG/ML), Tablet, Chewable(2.5/5/10mg) |
Cetirizine Hydrochloride
Cetirizine Hydrochloride
CAS Number: 83881-52-1

Description
Cetirizine Hydrochloride is a synthetic phenylmethyl-piperazinyl derivative, antihistaminic Cetirizine is a metabolite of hydroxyzine and a selective peripheral histamine H1-receptor antagonist.
API Type | Synthetic chemistry |
Therapeutic Category | Antihistamine |
Granules Product Status | Commercially Available |
Regulatory Filing/Technical Package | ASMF |
Innovator Brands | Zyrtec, Zyrtec allergy, Quzyttir |
Available dosage Form/Strength | Capsule(5/10mg), Syrup(5mg/ml), Tablet ODT(10mg), Tablet(5/10mg), Solution/Drops(EQ 0.24% BASE), Solution Intravenous(10MG/ML (10MG/ML), Tablet, Chewable(2.5/5/10mg) |
Darunavir Amorphous
Darunavir Amorphous
CAS Number: 206361-99-1

Description
Darunavir is in a class of medications called protease inhibitors. It works by decreasing the amount of HIV in the blood.
API Type | Synthetic chemistry |
Quality | ICH |
Therapeutic Category | Antiretroviral |
Monograph Status | NA |
Granules Product Status | Commercially Available |
Regulatory Filing/Technical Package | ASMF |
Innovator Brands | Xeloda |
Available dosage Form/Strength | Tablet (75/150/300/400/600/800 mg); Suspension Oral(100mg/ml) |
Fluconazole
Fluconazole
CAS Number: 86386-73-4

Description
Fluconazole is a synthetic triazole with antifungal activity. Fluconazole preferentially inhibits fungal cytochrome P-450 sterol C-14 alpha-demethylation, resulting in the accumulation of fungal 14 alpha-methyl sterols, the loss of normal fungal sterols, and fungistatic activity.
API Type | Synthetic chemistry |
Therapeutic Category | Antifungal |
Granules Product Status | Commercially Not Available |
Regulatory Filing/Technical Package | ASMF |
Innovator Brands | Diflucan |
Available dosage Form/Strength | For Suspension(200mg/5ml, 50mg/5ml), Tablet(50/100/150/200mg), Injectable(200mg/100ml, 400mg/200ml) |
Fluconazole Ph. Eur
Fluconazole Ph. Eur
CAS Number: 86386-73-4

Description
Fluconazole is a synthetic triazole with antifungal activity. Fluconazole preferentially inhibits fungal cytochrome P-450 sterol C-14 alpha-demethylation, resulting in the accumulation of fungal 14 alpha-methyl sterols, the loss of normal fungal sterols, and fungi static activity.
API Type | Synthetic chemistry |
Quality | Ph. Eur |
Therapeutic Category | Antifungal |
Monograph Status | EP- Available |
Granules Product Status | Commercially Available |
Regulatory Filing/Technical Package | CEP |
Innovator Brands | Diflucan |
Available dosage Form/Strength | For Suspension(200mg/5ml, 50mg/5ml), Tablet(50/100/150/200mg), Injectable(200mg/100ml, 400mg/200ml) |
Gabapentin Ph Eur
Gabapentin Ph Eur
CAS Number: 60142-96-3

Description
Gabapentin is a synthetic analogue of the neurotransmitter gamma-aminobutyric acid with anticonvulsant activity. Although its exact mechanism of action is unknown, gabapentin appears to inhibit excitatory neuron activity.
API Type | Synthetic chemistry |
Quality | Ph. Eur |
Therapeutic Category | Anticonvulsant |
Monograph Status | EP- Available |
Granules Product Status | Commercially Available |
Regulatory Filing/Technical Package | CEP |
Innovator Brands | Neurontin, Gralise |
Available dosage Form/Strength | Tablet(100/300/400mg), Capsule(600/800mg), Solution(250mg/5ml) |
Gliclazide, Ph. Eur
Gliclazide, Ph. Eur
CAS Number: 21187-98-4

Description
The hypoglycemic action of gliclazide is related to an improvement in insulin secretion from the functioning beta cells of the pancreas. It potentiates the insulin release, improves the dynamics of insulin. Gliclazide is rapidly absorbed from the gastro-intestinal tract and the plasma peak of gliclazide occurs between 4 and 6 hours. In man it is highly bound to plasma proteins, about 94%. The mean elimination half-life in man approximates 10.4 hours.
API Type | Synthetic chemistry |
Quality | Ph. Available |
Therapeutic Category | Sulfonylureas |
Monograph Status | EP-A |
Granules Product Status | Commercially Available |
Regulatory Filing/Technical Package | CEP |
Innovator Brands | Diamicron |
Available dosage Form/Strength | Tablets (80mg) |
Guaifenesin, Ph. Eur
Guaifenesin, Ph. Eur
CAS Number: 93-14-1

Description
Guaifenesin is a glyceryl guaiacolate with expectorant effects. Guaifenesin increases respiratory tract mucus secretions, acts as an irritant to gastric vagal receptors and recruits efferent parasympathetic reflexes that cause glandular exocytosis.
API Type | Synthetic chemistry |
Quality | Ph. Eur |
Therapeutic Category | Expectorant |
Monograph Status | EP- Available |
Granules Product Status | Commercially Available |
Regulatory Filing/Technical Package | CEP |
Innovator Brands | Mucinex |
Available dosage Form/Strength | Tablet(600/1200mg) |
Levocetirizine Dihydrochloride
Levocetirizine Dihydrochloride
CAS Number: 130018-87-0

Description
Levocetirizine is an antihistamine used to relieve allergy symptoms.
API Type | Synthetic chemistry |
Therapeutic Category | Antihistamine |
Granules Product Status | Commercial Available |
Regulatory Filing/Technical Package | ASMF |
Innovator Brands | Xyzal |
Available dosage Form/Strength | Tablet (5mg), Oral solution (2.5mg/ml) |
Losartan Potassium Ph Eur
Losartan Potassium Ph Eur
CAS Number: 124750-99-8

Description
Losartan potassium is an angiotensin II receptor blocker acting on the AT1 receptor subtype.
API Type | Synthetic chemistry |
Quality | Ph. Eur |
Therapeutic Category | Antihypertensive |
Monograph Status | EP- Available |
Granules Product Status | Commercially Available |
Regulatory Filing/Technical Package | KDMF |
Innovator Brands | Cozaar |
Available dosage Form/Strength | Tablet (25/50/100mg) |
Metformin HCl Ph. Eur
Metformin HCl Ph. Eur
CAS Number: 1115-70-4

Description
Metformin is an anti-diabetic medication (biguanide). It works by lowering glucose production in the liver, delaying the absorption of sugar (glucose) from the intestines, and increasing the body’s sensitivity to insulin.
API Type | Synthetic chemistry |
Quality | Ph. Eur |
Therapeutic Category | Hypoglycemic |
Monograph Status | EP-Available |
Granules Product Status | Commercially Available |
Regulatory Filing/Technical Package | CEP |
Innovator Brands | Glucophage, Glucophage XR, Glumetza, Fortamet |
Available dosage Form/Strength | Tablet (500/625/750/850/1000mg), Tablet ER (500/750/1000 mg), solution (500mg/ml), For suspension ER (500mg/ml) |
Methocarbamol USP
Methocarbamol USP
CAS Number: 532-03-6

Description
Methocarbamol is a carbamate with centrally acting muscle relaxant properties. Though the exact mechanism of action of methocarbamol was not established, it’s postulated to be via a mechanism similar of carbamate, inhibition of acetylcholinesterase at synapses in the autonomic nervous system, neuromuscular junction, and central nervous system.
API Type | Synthetic chemistry |
Quality | ICH |
Therapeutic Category | Muscle relaxant |
Monograph Status | USP- Available |
Granules Product Status | Commercially Available |
Regulatory Filing/Technical Package | ASMF |
Innovator Brands | Robaxin |
Available dosage Form/Strength | Tablet(500/750mg), Solution-IM,IV(1G/10ml) |
Metoprolol Succinate Ph Eur
Metoprolol Succinate Ph Eur
CAS Number: 98418-47-4

Description
Metoprolol Succinate is the succinate salt form of metoprolol, a cardioselective competitive beta-1 adrenergic receptor antagonist with antihypertensive properties and devoid of intrinsic sympathomimetic activity.
Naproxen Sodium
Naproxen Sodium
CAS Number: 26159-34-2

Description
Naproxen Sodium is the sodium salt form of naproxen, a member of the arylacetic acid group of non-steroidal anti-inflammatory drugs (NSAIDs) with anti-inflammatory analgesic and antipyretic properties.
API Type | Synthetic chemistry |
Quality | ICH |
Therapeutic Category | Anti-inflammatory agent |
Monograph Status | A |
Granules Product Status | Commercially Available |
Regulatory Filing/Technical Package | Technical Package Available |
Innovator Brands | Aleve, Naprelan |
Available dosage Form/Strength | Capsule (EQ 20mg Base), Tablet(Eq 220/ 250/ 500mg Base), Tablet ER (EQ 375/ 500/750mg Base) |
Pantoprazole sodium Sesquihydrate Ph. Eur.
Pantoprazole sodium Sesquihydrate Ph. Eur.
CAS Number: 164579-32-2

Description
Pantoprazole sodium sesquihydrate (recommended International Non-proprietary Name), a substituted benzimidazole, is a substance described in the Ph Eur. The active substance is chemically designated as sodium 5-(difluoromethoxy)-2-[(RS)-[(3,4-dimethoxypyridin- 2-yl)methyl] sulphinyl] benzimidazol-1-ide sesquihydrate (Chemical Name). The active substance can exist as enantiomers due to the presence of an unsymmetrical substituted sulphoxide group. No difference has been found in the in-vitro or in-vivo activity of the two enantiomers.
API Type | Synthetic chemistry |
Quality | Ph. Eur |
Therapeutic Category | Anti-ulcerative |
Monograph Status | EP- Available |
Granules Product Status | Commercially Available |
Regulatory Filing/Technical Package | CEP |
Innovator Brands | Protonix; Protonix Iv |
Available dosage Form/Strength | For Suspension, Delayed Release, Oral (EQ 40mg Base), Tablet, Delayed Release, Oral (EQ 20mg, EQ 40mg Base), Injectable; Iv (Infusion) EQ 40 mg Base/Vial |
Paracetamol Ph. Eur
Paracetamol Ph. Eur
CAS Number: 103-90-2

Description
N-(4-hydroxyphenyl) acetamide, commonly referred to as paracetamol, is one of the most familiar analgesics and antipyretic therapeutics in today’s drug market. As a result of its wide usage and applicability, there is significant interest in the development of fast and efficient analysis of paracetamol and related impurities
API Type | Synthetic chemistry |
Quality | Ph. Eur |
Therapeutic Category | Analgesics and antipyretics |
Monograph Status | EP-Available |
Granules Product Status | Commercially Available |
Regulatory Filing/Technical Package | CEP |
Innovator Brands | Acephen, Neopap, Tylenol, Ofirmev |
Available dosage Form/Strength | Suppository,Rectal(80/120/325/650mg); Tablet, Extended Release (650mg); Solution,Intravenous (1gm/100ml; 500gm/50ml) |
Penicillamine
Penicillamine
CAS Number: 52-67-5

Description
Penicillamine is a pharmaceutical of the chelator class. The pharmaceutical form is D-penicillamine.
API Type | Synthetic chemistry |
Quality | ICH |
Therapeutic Category | Chelating Agent |
Monograph Status | A |
Granules Product Status | Commercially Not Available |
Regulatory Filing/Technical Package | Technical Package Available |
Innovator Brands | Cuprimine, Depen |
Available dosage Form/Strength | Capsule (250/125mg), Tablet(250mg) |
Pirfenidone, Ph. Eur.
Pirfenidone, Ph. Eur.
CAS Number: 53179-13-8

Description
Pirfenidone is an orally active synthetic antifibrotic agent structurally similar to pyridine 2,4-dicarboxylate. Pirfenidone inhibits fibroblast, epidermal, platelet-derived, and transforming beta-1 growth factors, thereby slowing tumor cell proliferation.
API Type | Synthetic chemistry |
Quality | Ph. Eur |
Therapeutic Category | Antifibrotic agent |
Monograph Status | EP- Available |
Granules Product Status | Commercially Available |
Regulatory Filing/Technical Package | CEP |
Innovator Brands | Esbriet |
Available dosage Form/Strength | Tablet(267/534/801mg), Capsule (267mg) |
Rifaximin Ph. Eur
Rifaximin Ph. Eur
CAS Number: 80621-81-4

Description
Rifaximin is an orally administered, semi-synthetic, nonsystemic antibiotic derived from rifamycin SV with antibacterial activity. Rifaximin binds to the beta-subunit of bacterial DNA-dependent RNA polymerase, inhibiting bacterial RNA synthesis and bacterial cell growth.
API Type | Synthetic chemistry |
Quality | Ph. Eur |
Therapeutic Category | Antibiotic |
Monograph Status | EP- Available |
Granules Product Status | Commercially Available |
Regulatory Filing/Technical Package | CEP |
Innovator Brands | Xifaxan |
Available dosage Form/Strength | Tablet (200/550mg) |
Tenofovir Disoproxil Succinate
Tenofovir Disoproxil Succinate
CAS Number: 1637632-97-3

Description
(R)-9-(2-Phosphonylmethoxypropyl)adenine (PMPA known as tenofovir) is an antiviral drug. Diphosphate of PMPA acts as a selective inhibitor of the HIV-1 reverse transcriptase.
API Type | Synthetic chemistry |
Quality | ICH |
Therapeutic Category | Antiretroviral |
Monograph Status | NA |
Granules Product Status | Commercially Available |
Regulatory Filing/Technical Package | ASMF |
Innovator Brands | Viread |
Available dosage Form/Strength | Tablet (150/200/250/300 mg), Powder (40mg/ Scoopful) |